Sinclairzx81 - видео

  • Frequency | 1 9 8 3 FREQ U E N C Y - Synthwave, Cyberwave, Retrowave, Slowed To Perfecti - 15.10.2025

  • Vintage Computer Showcase: Sinclair ZX 81 - 28.02.2025

  • CVllXXX - SIZYLANA - 14.10.2025

  • Стили для синтезатора MEDELI AKX10 - 02.01.2024

  • Диск сегментный DIAMASTER Pro Laser ARIX WALL 800*60/35*80z железобетон - 15.10.2025

  • Обзор синтезатора TESLER KB-6150 | Ситилинк - 18.01.2024

  • Полное руководство по PaniCra: классическая и обновленная версия - 13.10.2025

  • Почвофреза (80см) на Синтай-120 - 10.03.2025

  • CVllXXX - ECLIPSEA - 14.10.2025

  • APPLEPIE (2021) (Sinclair ZX 81) - 04.10.2023

  • CVllXXX - ! ΛM SHЁLL - 14.10.2025

  • Sinclair C5 - 1985 EV Restoration And Test Drive | Retro Road Trip - 21.01.2024

  • CVllXXX – F¿¿K【NIGHTCORE】 - 14.10.2025

  • ООО «Синтек» - 08.10.2024

  • Frequency | 1 9 8 8 FREQ U E N C Y - Synthwave, Cyberwave, Retrowave, Trancewave - 15.10.2025

  • 100 тренировочных задач #64 (sinx)^8+(cosx)^8=17/32 - 28.12.2023

  • CVllXXX - YUNØLYΞR - 15.10.2025

  • 15000 Hz || 15 KHz Sine Wave Sound Frequency Tone •♕• - 10 Mins - 17.01.2025

  • SiN PC Game (1998) Elexis Sinclaire Rude Bit - 26.10.2023

  • CVllXXX - FØЯTE - 14.10.2025

  • 1kHz Sine Wave Test Tone Signal - 24.09.2023

  • Copy_C3CD5B77-086C-4C8F-B3C6-FBFA8A65BB7D - 14.10.2025

  • 48063 Часы 53x9x53см Glasar - 14.10.2025

  • CVllXXX - BLØØDLIИE - 14.10.2025

  • Синтезатор MQ 6158 Electronic Keyboard - демонстрация для сайта - 04.02.2024

  • Обзор синтезатора TESLER KB-6130 | Ситилинк - 16.02.2024

  • Дм Sinset_Sinclare By Zyqvornex - 24.08.2025

  • Синтезатор Jonson&Co JC-812 - 25.12.2024

  • Видео обзор Синтезатора MQ-810USB - 23.04.2024

  • Korg Pa 5x Synthesizer Sintezator #synthesizer #sintezator #клавиши #клавишные #рек #rek #youtube - 15.04.2024

  • Synthwave Drive · Cinematic Darksynth - 12.10.2025

  • РАСПАКОВКА ПОСЫЛОК.Детский СИНТЕЗАТОР. MQ 810 Usb. - 17.04.2024

  • C# ЦИКЛ WHILE И DO-WHILE | СИНТАКСИС, ПРИМЕР, РАЗБОР ? - 02.12.2023

  • CONFIGURAÇÕES SINAMICS G120c 15hp #SIEMENS # SINAMICS - 16.11.2024

  • Часы Sinix SX601 - 20.04.2024

  • Уравнение Sin2x - 12(sinx - Cosx) + 12 = 0 - 28.12.2023

  • SiN Episode 1 Emergence Элексис Синклер - 26.10.2023

  • Q128 | ∫(√x-sinx/2 Cosx/2+5) | Integral Of √x-sinx/2 Cosx/2+5 | Integration √x-sinx/2 Cosx/ - 11.01.2024

  • Viltrox 14mm F4 AIR - Экспресс обзор - 13.10.2025

  • Sinumerik 810D - 840D - 16.11.2024

  • Ультразвуковой диспергатор HX-MINI300 - 23.09.2025

  • Marc JX8P - Temporal Scream - Pt 3 - 13.10.2025

  • 1985 RETRO | Chill 80s Evening Ambiance & Sentimental Synthwave - 13.10.2025

  • CVllXXX - ИЖÅ - 14.10.2025

  • Что внутри синтезатора ElEGANCE JC-8378? Ремонтируем играючи. - 20.12.2023

  • SINIX 2081 ДЕТАЛЬНЫЙ ОБЗОР - ПОПУЛЯРНЫЙ КОПИРАЙТ! - 20.12.2023

  • 004 Sink Types (12 - Sinks) - 16.03.2025

  • синтезатор Mq 811 - 09.02.2024

  • Синтаксис - 23.12.2022

  • №539 FARGO VAN JCWMGE24-810074 2000 - 14.10.2025

  • Уравнение Sin7x + Sin6x = Sinx - 28.12.2023

  • Frequency | 1 9 9 8 FREQ U E N C Y | Synthwave, Dreamwave, Vaporwave, Chillsynth - 13.10.2025

  • Синтезатор Modx8, 88 клавиш - 15.04.2024

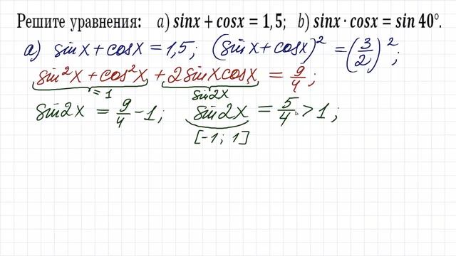
  • Два интересных уравнения Sinx+cosx=1,5 и Sinx*cosx=sin40° - 02.12.2023

  • Otis Elevator Tour @FIT Center, Macau - 15.10.2025

  • 94lYqar8NjnAZStgNxrX+NAXQTZN0rfQ - 14.10.2025

  • Frequency | 1 9 8 3 FEELING - Synthwave, Dreamwave, Vaporwave, Chillsynth - 15.10.2025

  • Frequency | 1 9 9 0 FREQ U E N C Y - Synthwave, Dreamwave, Vaporwave, Chillsynth - 14.10.2025

  • PURE UNICORN U7 Electric Bike 2000W Dual Motor 48V 19.2Ah Battery E Bike Fatbike Electric Bike - 15.10.2025

  • «Синара-Девелопмент» на ежегодном строительном форуме «100+ Technobuild», 2025 г. - 15.10.2025

  • Thoracic Disruptor - Dth [CD Digital As Fuck V1.1 2001] - 11.03.2025

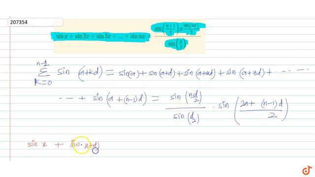
  • `sin X+sin 2x + Sin 3x+...+ Sin Nx =(sin((n+1)/2)xsin(nx)/2)/sin(x/2)` - 02.05.2024

  • C1839 - 14.10.2025

  • 48062 Часы 71x9x71см Glasar - 14.10.2025

  • How To Calculate Sin480, Cos1125, Tan 1200, Sin 585 | Trigonometry Class 11 - 09.09.2023

  • Graph Of Sinx+cosx, Sinx.cosx, Tanx, Cotx (sine And Cosine Graphs, Tangent And Cotangent Graphs) - 05.12.2023

  • Operating Weight 6 Tons Weichai Lovol Excavator FR60E2-H - 08.11.2024

  • Декораторы Python: понимание синтаксиса и вариантов использования - 18.01.2024

  • Winx Club 8 - Winx Cosmix Fan Animation - 10.11.2024

  • №499 VOXY ZRR70-0128907 2008 - 14.10.2025

  • Sin(arcsinx),cos( Arccosx) Etc (graphs F ( F Inverse X) , ) - 01.05.2024

  • ВЛ80Р-1856 - 13.10.2025

  • Frequency | 1 9 9 3 FREQ U E N C Y | Synthwave, Cyberwave, Retrowave, Chillsynth - 13.10.2025

  • Интеграл Sinx Cosx - 28.12.2023

  • 48659 Ваза 16x7x25см Glasar - 14.10.2025

  • Calculus Help: Integral Of (sin(lnx)dx)/x - Integration Formula And How To Solve - 26.01.2025

  • Синтаксис. #сөйлем_мүшелері #синтаксис - 28.01.2025

  • Sinkor - 22.04.2025

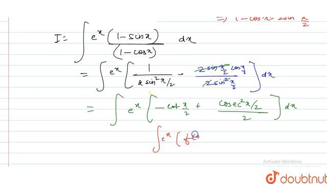
  • `int(e^x(1-sinx))/(1-cosx)dx` - 06.05.2024

  • Синтезатор DOFLER KE 6170 - 16.04.2024

  • Миксер Sinmag SE10L - БЭКИНГ МАСТЕР - 03.02.2024

  • For & Since - 29.03.2024

  • Qalib Gəncəli - 10 - 1998 - Musiqi çələngi - (kaset Mahnıları) (sintezator Ifa) #arxiv #retro - 16.04.2024

  • Integral Sinx Cosx | Int Sin X Cos X - 30.12.2023

  • Восьмой ролик синтезатор Modx8 - 15.04.2024

  • Heyati Reqsi Sintezator Oyrenmek Ucun Sintezator Dersleri Sintez Ders Piano Ders Aslan Qarmon Heyat - 15.04.2024

  • Frequency | 1 9 8 6 FEELING - Synthwave, Dreamwave, Vaporwave, Chillsynth - 15.10.2025

  • C811CD0008481 - 12.02.2025

  • 'sin3x+sin2x-sinx=4sinxcos(x/2)cos(3x/2)'||#NCERT#trigonometry - 05.12.2023

  • Проверка автоклавов Vacuklav тестом Helix - 14.10.2025

  • Omax Since 1946 Review - 05.09.2023

  • Sinx - Cosx = -1 Solution - 28.12.2023

  • `sin120^@cos150^@-cos240^@sin330^@=` - 13.09.2023

  • ज्ञात कीजिए -int (2 Cosx )/( (1- Sinx) (1 + Sin^(2) X)) Dx` - 02.05.2024

  • 0278-AQUA Кружка 13x10x10см Glasar - 13.10.2025

  • Sinlyxe.cc, REPORT / COMMENDBOT Review - 05.11.2024

  • AR09MSFPAWQX Replacement LM3S817 Part1 - 20.02.2024

  • Сегодня смотрят: